Oil scavenge characteristics of aero-engine bearing chambers under high air supply flow rates
-
摘要:
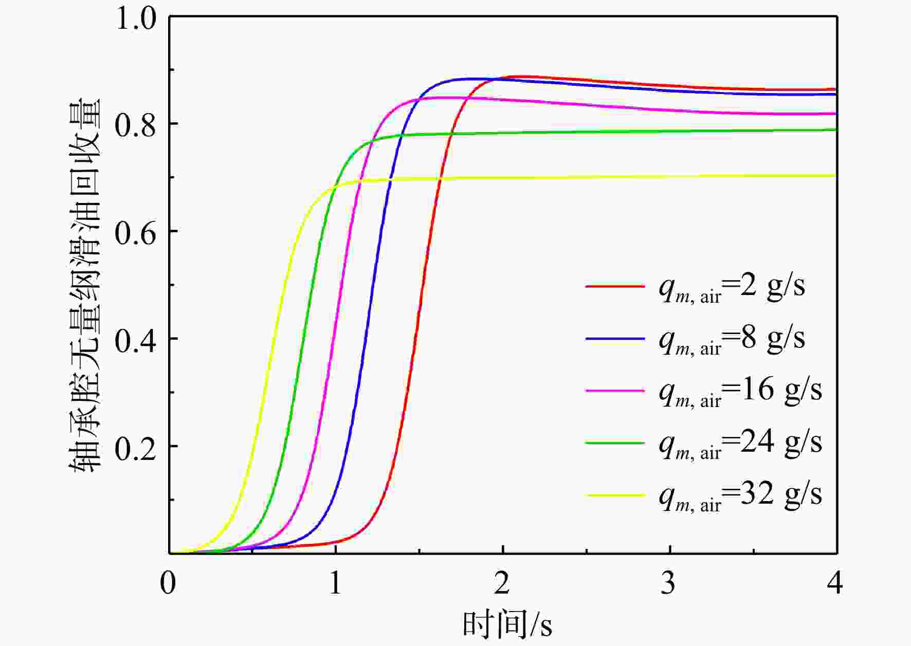
为探究大供气流量下航空发动机轴承腔油气两相介质流动规律及回油特性,基于volume of fluid(VOF)两相流方法建立了轴承腔流动仿真分析模型,分析供气流量参数对腔内油气两相分布的影响。设计并搭建了轴承腔回油特性多物理量同步测试可视化试验台,基于高速摄影技术拍摄了腔内两相流场,验证了数值计算方法的准确性。结果表明:针对所研究轴承腔结构(内径为300 mm,宽度为100 mm),供气流量越大,轴承腔滑油回收量越低,能更快进入稳定状态;回油口滑油占比对大供气流量变化更敏感,供气流量低于16 g/s时,回油口滑油占比下降4.6%,供气流量高于16 g/s后,下降比率大幅提升至14.4%;较高流量的气流造成了腔内的油气掺混现象更加剧烈,加速了滑油从通风口的排出,导致油膜在壁面上分布更稀薄,回油口滑油积聚减少。该研究为轴承腔密封系统进气量的设计提供了一定的参考依据。
Abstract:To investigate the flow behavior and oil scavenge characteristics of oil-air two-phase media in aero-engine bearing chambers under high air supply flow rates, a simulation model was developed based on the volume of fluid (VOF) method. This model was used to analyze the impact of air supply flow rate on the oil-air two-phase distribution within the bearing chamber. A synchronized multi-parameter testing rig, equipped with high-speed imaging technology, was constructed to visualize the oil scavenge characteristics and validate the numerical simulation. The results showed that, for the examined bearing chamber geometry (inner diameter 300 mm, axial width 100 mm), increasing the air supply flow rate reduced oil scavenge but allowed the system to stabilize more quickly. The oil proportion at the scavenge outlet was highly sensitive to changes in air supply flow rates. When the air supply flow rate was below 16 g/s, the oil proportion at the scavenge outlet decreased by 4.6%; when it exceeded 16 g/s, the decrease rate sharply rose to 14.4%. Higher air supply flow rates intensified oil-air mixing, accelerated oil discharge through the vent, and led to a thinner oil film on the chamber wall, ultimately reducing oil accumulation at the scavenge outlet. This study could provide a useful reference for the design of air supply parameters in the bearing chamber sealing systems of aero-engines.
-
Key words:
- bearing chamber /
- VOF /
- air supply flow rate /
- oil-air two-phase flow /
- oil scavenge characteristics
-
表 1 设计轴承腔结构参数
Table 1. Design the structural parameters of the bearing chamber
参数 数值 滑油入口直径/mm 6 空气入口直径/mm 20 回油口直径/mm 32 通风口直径/mm 20 轴承腔内壁直径/mm 300 轴承腔宽度/mm 100 轴承外径/mm 200 轴承内径/mm 100 轴承宽度/mm 20 轴承滚子个数 17 表 2 试验件结构参数
Table 2. Structural parameters of the test piece
mm 参数 数值 喷油口喷嘴直径 6 回油口直径 32 进气口直径 20 轴承腔内壁直径 300 轴承腔宽度 100 表 3 试验工况设置
Table 3. Experimental condition setting
参数 数值 供油流量/(L/min) 4 供气流量/(g/s) 2~22 轴承转速/(r/min) 1000 -
[1] 冯爽. 射流预冷航空发动机进气道气液两相流场的研究[D]. 沈阳: 东北大学, 2022. FENG Shuang. Study on gas-liquid two-phase flow field in jet precooled aeroengine inlet[D]. Shenyang: Northeastern University, 2022. (in ChineseFENG Shuang. Study on gas-liquid two-phase flow field in jet precooled aeroengine inlet[D]. Shenyang: Northeastern University, 2022. (in Chinese) [2] 林基恕. 航空燃气涡轮发动机机械系统设计[M]. 北京: 航空工业出版社, 2005. LIN Jishu. Mechanical system design of aviation gas turbine engine[M]. Beijing: Aviation Industry Press, 2005. (in ChineseLIN Jishu. Mechanical system design of aviation gas turbine engine[M]. Beijing: Aviation Industry Press, 2005. (in Chinese) [3] 李庆展, 李双喜, 郑娆, 等. 油气混相回流泵送密封结构启动过程摩擦磨损性能试验[J]. 航空发动机, 2023, 49(5): 167-174. LI Qingzhan, LI Shuangxi, ZHENG Rao, et al. Friction and wear performance of oil-gas miscible reflux pumping seal during start-up[J]. Aeroengine, 2023, 49(5): 167-174. (in ChineseLI Qingzhan, LI Shuangxi, ZHENG Rao, et al. Friction and wear performance of oil-gas miscible reflux pumping seal during start-up[J]. Aeroengine, 2023, 49(5): 167-174. (in Chinese) [4] 韩量宇, 赵欢, 常城, 等. 基于引气封油的轴承腔石墨密封系统滑油泄漏流动特性试验[J]. 航空学报, 2025, 46(10): 366-377. HAN Liangyu, ZHAO Huan, CHANG Cheng, et al. Experiment on leakage flow characteristics of lubricating oil for a carbon seal system of bearing chamber based on air-bleeding oil-sealing mode[J]. Acta Aeronautica et Astronautica Sinica, 2025, 46(10): 366-377. (in ChineseHAN Liangyu, ZHAO Huan, CHANG Cheng, et al. Experiment on leakage flow characteristics of lubricating oil for a carbon seal system of bearing chamber based on air-bleeding oil-sealing mode[J]. Acta Aeronautica et Astronautica Sinica, 2025, 46(10): 366-377. (in Chinese) [5] GLAHN A, KURRECK M, WILLMANN M, et al. Feasibility study on oil droplet flow investigations inside aero engine bearing chambers: PDPA techniques in combination with numerical approaches[J]. Journal of Engineering for Gas Turbines and Power, 1996, 118(4): 749-755. doi: 10.1115/1.2816990 [6] GLAHN A, WITTIG S. Two-phase air/oil flow in aero engine bearing chambers: characterization of oil film flows[J]. Journal of Engineering for Gas Turbines and Power, 1996, 118(3): 578-583. doi: 10.1115/1.2816687 [7] AROUSSI A, ISHAQ G, MENACER M. Measurement of gas/liquid flow velocities in rapidly rotating annular systems[C]// Proceedings of ASME FEDSM 03, 4th ASME_JSME Joint Fluids Engineering Conference. Honolulu, Hawaii, US: American Society of Mechanical Engineers, 2003: 1805-1809. [8] MIETTINEN M, VAINIO V, THESKA R, et al. Aerostatically sealed chamber as a robust aerostatic bearing[J]. Tribology International, 2022, 173: 107614. doi: 10.1016/j.triboint.2022.107614 [9] REZVANPOUR A, MILLER R E. Prediction of PAN oxidation in a gas turbine bearing chamber using coupled chemical kinetics and CFD simulation of lubricant flow[J]. Thermal Science and Engineering Progress, 2024, 50: 102541. doi: 10.1016/j.tsep.2024.102541 [10] LI Yang, YANG Zhaojun, CHEN Fei, et al. Effect of air inlet flow rate on flow uniformity under oil-air lubrication[J]. Industrial Lubrication and Tribology, 2018, 70(2): 282-289. doi: 10.1108/ILT-12-2016-0296 [11] 任国哲, 李延鹏, 赵欢, 等. 基于油气两相流的轴承腔封严系统泄漏流动特性研究[J]. 航空动力学报, 2025, 40(4): 20230471. REN Guozhe, LI Yanpeng, ZHAO Huan, et al. Research on flow characteristics of bearing chamber sealing system based on oil-gas two-phase flow[J]. Journal of Aerospace Power, 2025, 40(4): 20230471. (in ChineseREN Guozhe, LI Yanpeng, ZHAO Huan, et al. Research on flow characteristics of bearing chamber sealing system based on oil-gas two-phase flow[J]. Journal of Aerospace Power, 2025, 40(4): 20230471. (in Chinese) [12] ATTIA A H, CHANDRA B, TOOMER C A. Computational and experimental representation of simplified gas turbine bearing chamber geometries[J]. International Journal of Thermofluids, 2025, 26: 101097. doi: 10.1016/j.ijft.2025.101097 [13] NICOLI A, JOHNSON K, JEFFERSON L R, et, al. Simulation of a simplified aeroengine bearing chamber using a fully coupled two-way eulerian thin film/discrete phase approach: Part Ⅰ film behavior near the bearing[J]. Journal of Engineering for Gas Turbines and Power, 2021, 143(10): 101015. doi: 10.1115/1.4051560 [14] NICOLI A, JOHNSON K, JEFFERSON-LOVEDAY R. Simulation of a simplified aeroengine bearing chamber using a fully coupled two-way eulerian thin film/discrete phase approach part II: droplet behavior in the chamber[J]. Journal of Engineering for Gas Turbines and Power, 2021, 143(10): 101016. doi: 10.1115/1.4051561 [15] SINGH K, SHARABI M, JEFFERSONLOVEDAY R, et al. Modeling of partially wetting liquid film using an enhanced thin film model for aero-engine bearing chamber applications[J]. Journal of Engineering for Gas Turbines and Power-Transactions of the ASME, 2021, 143(4): 041001. doi: 10.1115/1.4049663 [16] 任国哲. 基于油气两相流的航空发动机轴承腔流动换热研究及回油结构改进设计[D]. 西安: 西北工业大学, 2016. REN Guozhe. Study on flow and heat transfer and optimization of scavenge structure in bearing chamber based on oil/air two-phase flow[D]. Xi’an: Northwestern Polytechnical University, 2016. (in ChineseREN Guozhe. Study on flow and heat transfer and optimization of scavenge structure in bearing chamber based on oil/air two-phase flow[D]. Xi’an: Northwestern Polytechnical University, 2016. (in Chinese) [17] GONG Ping, ZHANG Jingjing, LIU Zhenxia, et al. Research on temperature field analysis method of high-speed bearing chamber-bearing system[J]. Applied Sciences, 2024, 14(24): 11769. doi: 10.3390/app142411769 [18] LI Yunfeng, LI Ruoxuan, TIAN Ao, et al. Research on leakage characteristics of labyrinth seal based on air-oil two-phase flow[J]. Multidiscipline Modeling in Materials and Structures, 2025, 21(2): 270-290. doi: 10.1108/MMMS-04-2024-0101 [19] WEI Chunhui, WU Wei, LI Tie, et al. Experimental and simulation analysis of oil-air two-phase flow characteristics in high-speed bearings[J]. Tribology International, 2025, 201: 110281. doi: 10.1016/j.triboint.2024.110281 [20] 于丹妮. 轴承腔内流动与热分析及回油口结构改进[D]. 哈尔滨: 哈尔滨工程大学, 2023. YU Danni. Flow and heat transfer analysis in bearing chamber and improvement of scavenge structure[D]. Harbin: Harbin Engineering University, 2023. (in ChineseYU Danni. Flow and heat transfer analysis in bearing chamber and improvement of scavenge structure[D]. Harbin: Harbin Engineering University, 2023. (in Chinese) [21] 曹逸韬, 钟易成, 吴悠, 等. 密封气流流量对轴承腔外壁滑油运动的影响[J]. 航空发动机, 2023, 49(1): 127-133. CAO Yitao, ZHONG Yicheng, WU You, et al. Influence of sealing air mass flow rate on bearing chamber outer wall oil movement[J]. Aeroengine, 2023, 49(1): 127-133. (in ChineseCAO Yitao, ZHONG Yicheng, WU You, et al. Influence of sealing air mass flow rate on bearing chamber outer wall oil movement[J]. Aeroengine, 2023, 49(1): 127-133. (in Chinese) [22] ZHU Donglei, CHEN Guoding, WANG Lin, et al. Effects of droplet deformation, evaporation, and mutual interaction with air on droplet motion and droplet-film impingement in aeroengine bearing chambers[J]. Applied Thermal Engineering, 2023, 224: 120008. doi: 10.1016/j.applthermaleng.2023.120008 [23] WANG Jiang, PAN Yingxiu, WANG Yechun, et al. Data-driven prediction of convective heat transfer coefficients in internal walls of aero-engine bearing chambers using mind evolution algorithm-enhanced Bayesian regularization neural networks[J]. Applied Thermal Engineering, 2024, 257: 124226. doi: 10.1016/j.applthermaleng.2024.124226 [24] HARIZI W, HAMDI F, CHRIGUI M. A comprehensive numerical investigation of the spray characteristics in spill-return atomizers using coupled VOF and Euler-Lagrange approach[J]. Particuology, 2024, 95: 319-332. doi: 10.1016/j.partic.2024.10.010 [25] PANG Jiayang, LIU Huizi, LIU Xiaobing, et al. Analysis on the escape phenomenon of oil mist from turbine lower guide bearing based on VOF model[J]. Advances in Mechanical Engineering, 2021, 13(11): 168-178. -

下载: